Abstract
A large number of cellular operators in an area causes high interference effects. One indicator is the problem with received total wideband power (RTWP) found in a universal mobile telecommunication system (UMTS). High RTWP is one of the causes of a decrease in the quality of service (QoS) in cellular communication networks. To solve this problem, an RF band-pass filter device can be implemented on a UMTS system, where RF band-pass filters have been designed and tested in previous studies. In this research, the RF band-pass filter was installed between the BTS node and bottom jumper. After implementing it, QoS measurements with the Huawei M2000 application and Drive Test were carried out. The QoS analysis included RTWP, Circuit-Switched access rate, Packet-Switched access rate, and Received Signal Code Power (RSCP) value. The results show that the RTWP value decreases, while the CS access rate, PS access rate, and RSCP value increase. These results indicate that QoS on the UMTS increases.
Introduction
The problems that occur in mobile communication are very complex, such as noise, fading, and interference. These problems cause Quality of Service (QoS) in mobile communication to decrease (Pratama, Endroyono & Suwadi, 2014), with a large number of cellular operators causing high levels of interference. One indicator is the problem with received total wideband power (RTWP) in the Universal Mobile Telecommunications Service (UMTS). This problem is the main cause of the decline in QoS in mobile communication (Nader, 2006).
Radio interference is a key factor that influences the quality of mobile communication. In general, radio interference is classified into external interferences and internal interferences. External interferences are those caused by a repeater, radar, analog base transceiver station (BTS) or walkie-talkie. Internal interferences are caused by the system â often resulting from an illegal terminal, parameter setting problems or BTS fault equipment â and also in-band and out-of-band interference. The results of radio interference affect several aspects of the system, such as decreased sensitivity of a BTS, decreased system capacity, increased call drop rate, decreased access success rate, call quality, call drop, handoff, conversation quality, network coverage, and capacity (Nosiri et al., 2014a).
Measuring the QoS in mobile services is done by cellular operators to know and maintain the stability of the BTS infrastructure, to provide suitable QoS, quality of experience (QoE) and customer satisfaction from the mobile communication services. According to International Telecommunication Union (ITU) recommendation P.800, the standard of evaluation of mobile communication is classified into three key performance indicators (KPI), which are accessibility, retainability, and integrity (Melvi & Fernando, 2014).
QoS analysis of UMTS using Qualnet simulation has been performed by changing the value of the precedence bit in the constant bit rate (CBR) application: measured performance parameters were throughput, average jitter, and average end-to-end delay (Kaur, Rakheja & Kaur, 2010; Thethi & Sawhney, 2010). To improve the QoS of UMTS, several handover techniques have been simulated using OPNET: the measured QoS parameters were sent and received traffic, end-to-end delay variation, upload response time and download response time (Ali, Saleem & Tareen, 2012). In addition, the soft handover process in UMTS has been analyzed with OPNET simulation by adjusting the speed of the user equipment: the QoS parameters analyzed were delay, packet loss, throughput, jitter, and bit error rate (BER) (Derar & Mustafa, 2014a).
Voice over IP (VOIP) in UMTS has been studied for a variety of voice encoders using OPNET simulation. The QoS parameters analyzed were end-to-end packet loss, throughput, and end-to-end delay (Derar & Mustafa, 2014b; Werner & Vary, 2005). The integration of WLAN and UMTS networks for video conferencing and FTP applications has been studied with OPNET, measuring performance by throughput and delay (Verma & Baghla, 2014).
Besides the methods discussed above, QoS performance degradation due to interference effects can be improved using filters. The total interference in a network, with measurements of RTWP and outdoor interference, has been evaluated using Monte Carlo simulation (Tchao et al., 2013). The effect of interference and the noise arising from spurious emissions in the case of co-located channel bandwidth spectrum among operators have been described (Nosiri et al., 2014b), with various industry solutions proffered to improve coverage performance and system capacity. A solution to co-channel interference and adjacent channel interference in a WCDMA system is to add an RF filter to each BTS (Pratama, Endroyono & Suwadi, 2014). This can show improvement in cellular BTS performance parameters such as call completion success rate-packet switched (CCSR-PS), call completion success rate-circuit switched (CCSR-CS), and dropped call rate (DCR) (Melvi & Fernando, 2014). The effect of interference can be overcome using the Chebyshev filter approach, with a filter that is a dielectric resonator filter with 9 poles. Such a filter can result in high selectivity and low insertion loss (Knack, Mazierska & Piel, 2008). RF band-pass filters have been designed and tested for performance improvement in UMTS through the decrease of RTWP value. The design and testing of the RF band-pass filter use the image parameter method, with components, namely L inductor and C capacitor, arranged in series and parallel. Determination of LC values uses a circuit of two half sections to get 2 poles (Antara, Gunantara & Wirastuti, 2016).
The problem of RTWP in UMTS in big cities is unavoidable, so the selection of research sites is very important (Martin-Escalona & Barcelo, 2006). The city used as the research site in the present study is Denpasar City, Bali, Indonesia. The UMTS in the Denpasar area has RTWP problems caused by high levels of radio interference because Denpasar has many cellular operators and the BTSs of different cellular operators are close together. Meanwhile, in other areas in Bali excluding Denpasar, there are more likely fewer cellular operators.
To overcome the problem of RTWP in UMTS systems in Denpasar, RF band-pass filters have been installed. The RF band pass filter implemented in Denpasarâs UMTS has been designed and tested, as described in a previous paper (Antara, Gunantara & Wirastuti, 2016). After the RF band pass filter was installed, measurements were collected using the M2000 application (Huawei, 2013) and Drive Test from August 1st to September 29th, 2015. This paper summarizes these measurements. Measurements were made in two stages: before the installation of the RF band-pass filter; and after the installation using the dedicated lock mode. The QoS analysis uses measurements of RTWP, Circuit-Switched (CS) access rate, Packet-Switched (PS) access rate, and Received Signal Code Power (RSCP).
RF Band-Pass Filter and UMTS Performance
A.The UMTS
The UMTS network architecture consists of mutually supportive devices, namely user equipment (UE), UMTS terrestrial radio access network (UTRAN) and a core network (CN), all of which can be seen in Figure 1 (Kreher, 2006). In the UMTS, the access network, UTRAN, provides the connection between the UE and CN. UTRAN consists of a radio network controller (RNC) and one or more Node-Bs (Kreher, 2006; Wardhana, 2011).
Figure 1. UMTS Network Architecture
1)RNC (Radio Network Controller)
The RNC is responsible for controlling the radio resources on the UTRAN. It oversees several Node-Bs, connecting the CN to the UE, and acts as the end of the radio resource control (RRC) protocol.
2)Node B
Node-B is the same as the base transceiver station (BTS) in a GSM network. It is a transmitting and receiving device that provides radio services to the UE. The main function of a Node-B is to process layer 1, including channel coding, interleaving, spreading, de-spreading, modulation, demodulation, and other processes. Node-B also performs several radio resource management (RRM) operations, such as handover and power control. The Node-B used in this research is designated node-B 3612998G. It has poor performance or a low QoS, with an RTWP value of -90 dBm, indicating a QoS problem. Node-B 3612998G is one of the many Node-Bs owned by cellular operators in Denpasar.
3)CN (Core Network)
The CN combines the functions of intelligence and transport. It supports signalling and transporting information from traffic, including traffic load relief. The intelligent functions are logic, control facilities of service through a clearly defined interface, and mobility settings. UMTS is also connected with other telecommunication networks, so communication is possible not only between UMTS mobile users but also with other networks.
The UMTS implemented in Bali is governed by the Minister of Communication and Informatics (Indonesian: Menteri Komunikasi dan Informatika, or Menkominfo) with an uplink frequency in the range 1920-1980 MHz and a downlink frequency range of 2110-2170 MHz. This study discusses the UMTS uplink frequency with a bandwidth of 5 MHz (Menkominfo, 2013).
B.RF Band Pass Filter
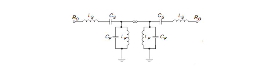
The three types of RF filter are band pass, low pass, and high pass. This research uses a band-pass type of RF filter to adjust the centre frequency that can be passed in the RF filter circuit (Lacanette, 1991; Sayre, 2008). The RF filter application in this research has been done through design and choosing a two half-section band-pass filter with the best image parameter (Antara, Gunantara & Wirastuti, 2016). This section will describe the design briefly. The band pass filter design uses the image parameter method. The image parameter method is a framework for analyzing the value calculations of series and parallel components in a passive filter (Sayre, 2008). The band-pass filter design with the image parameter method is similar to the RF low-pass and high-pass designs; however, the complexity is greater due to the components and the two cut-off frequencies. Similar to the filter design with low pass and high pass, this research uses two half sections, as shown in Figure 2.
According to Figure 2, in the band pass filter circuit, each LC pair is a single pole, so the half section consists of two inductors and two capacitors. The two half-section band-pass filter circuits can be connected to create a filter with more poles. The R0 element value is the value of comparison between input and output impedance value (Zin/Zout) or matching impedance with a maximum value of 50 ohms (Sayre, 2008).
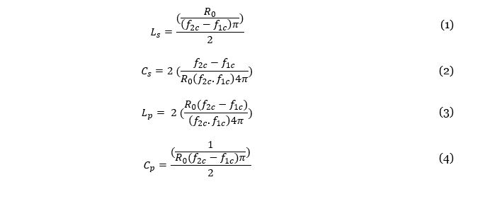
To design the band pass filter with the image parameter method, it is necessary to calculate the LC element value for the half-section circuit. The equation element value LS describes the series inductance value, CS is the series capacitance value, LP is the parallel inductance value, and CP describes the parallel capacitance value. For the two half-section band-pass filter circuits as shown in Figure 2, the value of the LC element can be calculated using the following equations:
Figure 2. The composition of two half-section band-pass filter circuit
The two half-section band-pass filter circuit consists of several LC pairs or two poles, with inductance and capacitance elements, LS, CS, LP, and CP in series and parallel. The circuit can be seen in Figure 3 (Sayre, 2008).
Figure 3. Elements LS, CS, LP, and CP in the two half-section band-pass filter
From the design and simulation results that have been carried out in the study by Antara, Gunantara & Wirastuti (2016), the parameters of the RF band-pass filter can be seen in Table 1.
Table 1. Parameters of RF Band-Pass Filter
The RF band pass filter simulation results can be seen in Table 2 (Antara, Gunantara & Wirastuti, 2016).
Table 2. Simulation Results for Parameters from RF Band-Pass Filter
|
Frequency Range |
UMTS UL: 1955-1980 MHz UMTS DL: 2145-2170 MHz |
Up |
Down |
|
|
UMTS UL (Up Link) |
||||
|
Insertion Loss |
Typical |
0.7 dB max |
0.7 dB |
0.7 dB |
|
Edge |
1.0 dB max |
1.0 dB |
1.0 dB |
|
|
Return Loss |
18 dB min |
20.08 |
21.28 |
|
|
Rejection |
1983-1990 MHz |
65 dB Min |
66.26 |
66.31 |
|
UMTS DL (Down Link) |
||||
|
Insertion Loss |
Typical |
0.5 dB Max |
0.18 |
0.15 |
|
Return Loss |
18 dB min |
20.75 |
23.60 |
|
|
Rejection |
1983-1990 MHz |
65 dB Min |
66.14 |
66.25 |
|
DC/AISG (DC-3.0 MHz) |
||||
|
Insertion Loss |
1.0 dB Max |
0.21 |
0.22 |
|
|
Return Loss |
12 dB Min |
25.54 |
25.61 |
|
C.The UMTS System Performance
The UMTS performance parameters written about in this paper are as follows.
1)RTWP
RTWP is the total power of the entire received signal in the uplink frequency at the antenna. The received signal is from user equipment or external interference or noise in the UMTS. RTWP values can be calculated through the following equation (Junjie and Qiong, n.d.):
Noise factor (NF) is also specified as the total equivalent input noise power divided by the input noise power due to the source only.
RTWP can also be referred to as the total power received in the antenna at an uplink frequency, as can be seen in Table 3 (Kreher, 2006).
Table 3. Parameter Values of RTWP
|
Parameter |
Threshold |
Adjective |
|
RTWP |
< -105 dBm |
Excellent |
|
-105 dBm to -92 dBm |
Good |
|
|
92 dBm to -85 dBm |
Fair |
|
|
> -85 dBm |
Bad |
2)CS Access Rate
CS Access Rate is used to measure the level of network availability in providing services in the form of voice services and SMS.
- Call establish is a successful process when an MS (mobile station) contacts another MS.
- Block call is a process when an MS fails to contact another MS.
3)PS Access Rate
PS Access Rate is used to measure the level of network availability in providing services in the form of internet data packet traffic service in the UMTS network.
4)CPICH RSCP (Common Pilot Indicator Channel Received Signal Code Power)
CPICH RSCP is the level of signal strength of the UMTS network received by the user equipment. The RSCP can be used to analyze coverage. Areas with an RSCP under -97 dBm are considered to have low coverage.
Implementation and Measurement
This section begins with the placement of the RF band-pass filter on the UMTS with RTWP problems, followed by measurements using the M2000 data interface and Drive Test.
A.RF Band-Pass Filter Placement
Figure 4. Node-B block diagram arrangement prior to and after the RF band-pass filter installation
(Legend: 1. Local Maintenance Terminal; 2. BTS; 3. Bottom and Top Jumpers; 4. Feeder Cable; 5. RF Antenna; 6. RF band-pass filter)
A Node-B, as shown in Figure 4, generally consists of a local maintenance terminal (LMT), BTS, bottom jumper, feeder cable, top jumper, and RF antenna. The RF band-pass filter that has been designed and tested is placed between the bottom jumper and BTS in order to reduce interference at the radio frequency unit installed on the BTS. In Figure 4, the arrangement of building-blocks 1 to 5 is prior to the installation of the RF band-pass filter. Once it is installed, the building-block number 6 is added.
From Figure 4, it can be seen also that the LMT measuring instrument is connected to the Node-B (BTS) interface to monitor the status of Radio Base Station, so the internal node condition towards the installed RF filter can be known (Huawei, 2011).
B.M2000
Data is collected through the M2000 application (Huawei, 2013), which previously had shown that the RTWP value is high (poor). Statistics on the RTWP value, PS access rate and CS access rate have been collected from the node implemented with the RF band-pass filter. The measurement process using M2000 can be seen in Figure 5.
Figure 5. Measurements using M2000
In Figure 5, the arrows in yellow indicate the position of the M2000 measuring instrument. The data processing performance is obtained from monitoring the UMTS network system using the M2000 application. This performance data is collected by every UMTS node in serving every activity performed by the user, including voice, access data, or even a video call. The performance data collected by the UMTS node is then sent hourly by the node to the RNC, from which it is available. The performance data is later processed by the system so that it can be accessed through the M2000 application (Huawei, 2013).
C.Drive Test
The Drive Test is used to measure the signal quality perceived by the user and to optimize the existing UMTS system. There are several tools that can be used in a drive test, including TEMS Investigation (Ericsson), NEMO (Nokia) and GENEX Probe (Huawei). The Drive Test in this paper uses the TEMS Investigation device. The parameter whose performance is to be measured is the CPICH RSCP (Wardhana, 2011). The measurement process using the Drive Test can be seen in Figure 6.
Figure 6. Measurements using Drive Test
There are two types of measurement in this Drive Test: idle mode and dedicated mode. Idle mode is when a mobile station (MS) is on but does not have a connection to the radio network, also referred to as a standby condition. In this condition, the MS can still access the radio network system and the radio network can also reach the MS. This mode is usually done only to know the signal strength of an area where a low signal or no service is indicated. Dedicated mode is the measurement of signal quality followed by a canal occupation (long call or short call to a certain destination number) to measure and identify the quality of voice and data.
Data collection on the Drive Test is done using two methods: single site verification (SSV) and cluster method. SSV is a commonly used Drive Test on a new site with close coverage area to check functionalities such as voice call, video call, PS download, HSDPA download, power emitted according to coverage, and ability to swap feeders. Meanwhile, the Cluster method is a Drive Test conducted on an area or cluster consisting of several sites, in order to observe the network of a mobile carrier (Kreher, 2006).
The equipment selected for the Drive Test includes a laptop, TEMS, dongle HASP4, TEMS cellular phone, data cable, GPS tracker, and accessories (Kreher, 2006).
The Drive Test route is determined according to the proximity of the node position with other nodes, while considering the coverage at farther distances and also operational issues. These will affect the results of the Drive Test. With the positions of the nodes far away from each other, a Drive Test route is developed in order to obtain maximum results so that the UMTS node performance indicator after the implementation of RF band-pass filter can be acquired.
The SSV Drive Test routes and cluster Drive Test routes to see the signal quality provided in the RF band-pass filter implementation can be seen in Figure 7.
Figure 7. SSV Drive Test route and cluster Drive Test route after the implementation of RF band-pass filter node in UMTS Denpasar area
As shown in Figure 7, from the existing UMTS network area routes, a measurement using the Drive Test is done using the SSV and cluster method. The green lines show the SSV Drive Test route, while the red lines indicate the cluster Drive Test route. A vehicle with in-built Drive Test tools will pass through the route to obtain the signal quality data from the measured network. The results of each UMTS network performance measurement are then processed and analyzed.
Measurement Results and QoS Analysis
Since the RF band-pass filter is installed in the UMTS, a hardware radio frequency unit (RFU) scan is needed to find out the internal node condition towards the installed RF band-pass filter. The scanning results of the RFU hardware with the LMT show that there are no active alarms on the nodes, and only the door open alarm is on, which indicates that there is ongoing operational and maintenance activity in the UMTS. The scanning results can be seen in Figure 8.
Figure 8. Result of Local Maintenance Terminal Scan of RF Unit
Based on the RFU hardware scanning results in Figure 8, the internal node condition is good, in terms of cable connection, board configuration, transmission line, and functionality board. Further analysis leads to external interference at the node where the RTWP issues exist.
A.M2000 Measurement Results
Statistics of the mean RTWP at node 3612998G, which were processed using the M2000 application conducted from August 1st to September 29th, 2015 can be seen in Figure 9.
From Figure 9, we can see the fluctuations of parameters F1 and F2. F1 is the first carrier frequency of the UMTS system of the mobile carrier whose designation is for voice and video traffic, whereas F2 is the second carrier frequency of the UMTS system of the mobile carrier whose designation is for data and HSDPA traffic.
Figure 9. Mean RTWP at node 3612998G
From Figure 9, the RTWP mean value decreased after the implementation of RF band-pass filter on September 10th, 2015. Before that date, the mean RTWP at node 3612998G was still between -90 dBm and -95 dBm. This serves as an indicator of interference on the uplink. With the implementation of the RF band-pass filter on September 10th, the mean RTWP value steadily improves to a value of between -102 dBm and -104 dBm. This is caused by the implementation of the RF band-pass filter. The noise factor value decreases, causing the RTWP value to decrease.
The CS access rate at node 3612998G, processed by the M2000 application in the period August 1st to September 29th, 2015, can be seen in Figure 10.
Figure 10. CS access rate at node 3612998G
From Figure 10, the value of the CS access rate has improved after the RF band-pass filter implementation on September 10th, 2015. Before the implementation, the CS access rate at node 3612998G on its second carrier frequency (F2) showed extremely high fluctuations, with values between 97% and 98%. After the implementation, the value only fluctuates slightly, with an increase that reaches almost 100%.
The PS access rate at node 3612998G from the M2000 application for the period August 1st to September 29th, 2015 can be seen in Figure 11.
Figure 11. PS access rate at node 3612998G
The data given in Figure 11 shows that the PS access rate improved after the implementation of the RF band-pass filter on September 10th, 2015. Before the implementation, the PS access rate at node 3612998G fluctuates extremely highly, between 97% and 98.5% for the second carrier frequency. After the RF band-pass filter implementation, the PS access rate steadily increases to almost 99.5%.
B.Drive Test Measurement Results
The results of the Drive Test show symbols coloured red, yellow, light green, and dark green, depending on the values of the measured parameters. Here, we show the results for CPICH RSCP. The colours have the following meanings: Red means the RSCP level is at -120 to -95 dBm; yellow shows an RSCP level of -95 to -85 dBm; light green indicates an RSCP level of â85 to -75 dBm; and dark green indicates an RSCP level of -75 to 0 dBm.
The SSV Drive Test measurement process is done in two stages: before the RF band-pass filter implementation and after the RF band-pass filter implementation with a dedicated lock mode. The results of the SSV Drive Test measurements before the RF band pass filter is installed on the UMTS can be seen in Figure 12.
Figure 12. Measurement of SSV Drive Test prior to RF band-pass filter implementation with a dedicated lock mode
From the results shown in Figure 12, the sample data for each indicator is obtained using the following equation:
The percentage and indicators of each measurement are:
RSCP value -120 to -95 dBm: = 3.68% (bad)
RSCP value -95 to -85 dBm: = 27.93% (fair)
RSCP value -85 to -75 dBm: = 54.36% (good)
RSCP value -75 to 0 dBm: = 14.03% (excellent)
The lowest RSCP value, coloured red, -120 to -95 dBm, with a sample number of 86 or 3.68%, is categorized as bad; the colour yellow, at -95 to -85 dBm with a sample of 653 or 27.93%, is considered fair; and the dark green colour, at -75 to 0 dBm with a sample of 328 or 14.03%, is categorized as excellent.
After the RF band-pass filter is installed, the RSCP is measured using the SSV drive test done on the UMTS using dedicated lock mode. The results can be seen in Figure 13.
Figure 13. Measurement of SSV Drive Test after the implementation of RF band-pass filter with a dedicated lock mode
From the results that appear in Figure 13, the sample data from each indicator is obtained through equation (8). The percentage and indicators of each measurement are:
RSCP value -120 to -95 dBm: = 0% (bad)
RSCP value -95 to -85 dBm: = 0% (fair)
RSCP value -85 to -75 dBm: = 17.41% (good)
RSCP value -75 to 0 dBm: = 82.59% (excellent)
The RSCP values coloured red, at -120 to -95 dBm, and yellow, at -95 to -85 dBm, show 0 samples. QoS analysis on RSCP with SSV drive test, after the RF band-pass filter implementation, shows that the level of RSCP improves or increases.
The next measurement is done using the cluster method. This process is done in two stages: before the RF band-pass filter implementation; and after the RF band-pass filter implementation with a dedicated lock mode. The measurements before the implementation can be seen in Figure 14. From the measurements in Figure 14, the data sample is obtained for each indicator through equation (8). The percentage and indicators of each measurement are:
RSCP value -120 to -95 dBm: =1.65% (bad)
RSCP value -95 to -85 dBm: =20.02% (fair)
RSCP value -85 to -75 dBm: =35.33% (good)
RSCP value-75 to 0 dBm: =43.00% (excellent)
The RSCP value coloured red, with a range of -120 to -95 dBm and a sample of 3659 or 1.65%, is considered bad; the colour yellow, with -95 to -85 dBm and a sample of 44382 or 20.02%, is categorized as fair; and dark green, at -75 to 0 dBm with a sample of 95362 or 43.00%, is categorized as excellent.
The measurement results from the cluster Drive Test after implementing the RF band-pass filter using the dedicated lock mode can be seen in Figure 15.
Figure 14. Measurement of Cluster Drive Test prior to RF band-pass filter implementation with a dedicated lock mode
Figure 15. Measurement of Cluster Drive Test after the implementation of RF band-pass filter with a dedicated lock mode
From the measurement results in Figure 15 the sample data for each indicator is obtained through equation (8). The percentage and indicators of each measurement are:
RSCP value -120 to -95 dBm: = 0.012% (bad)
RSCP value -95 to -85 dBm: = 2.69% (fair)
RSCP value -85 to -75 dBm: = 23.07% (good)
RSCP value -75 to 0 dBm: = 74.23% (excellent)
The RSCP value coloured red, at -120 to -95 dBm with a sample of 27 or 0.012%, is categorized as bad; the value coloured yellow, at -95 to -85 dBm with a sample of or 2.69%, is considered fair; and the dark green indicator, at -75 to 0 dBm with a sample of 164598 or 74.23%, is categorized as excellent.
In the cluster drive test, after the RF band-pass filter implementation, there is a difference in colour: there is no red and only a little yellow. This gives an indication of improvement in the RSCP value of the UMTS system.
Discussion and Conclusion
QoS measurements have been carried out on UMTS systems with the M2000 and Drive Test. QoS measurement has been done in two stages. In the first stage, QoS measurements are carried out without the RF band-pass filter. In the second stage, QoS measurements are carried out with the RF band-pass filter in place.
Through the M2000, the QoS measurement results are in the form of RTWP, CS access rate, and PS access rate. Before the RF band-pass filter is installed, the resulting QoS is a high RTWP value and the values of the access rate fluctuate very highly. After the RF band-pass filter is installed, the RTWP value decreases because the value of the noise factor decreases. For the performance of the access rates, the results obtained are more stable and increase.
With the Drive Test (both SSV and Cluster), the QoS measurement results are RSCP values. Before the RF band-pass filter is installed, the SSV and Cluster Drive Tests show very small RSCP values. This is indicated by the symbols being red or yellow. After installing the RF band-pass filter, the RSCP value increases. This is indicated by a reduction in the number of symbols of red and yellow colour, and an increase in dark green colour.
The QoS measurement results before installing the RF band-pass filter show poor performance due to the signals in the 1955-1980 MHz band being mixed with noise and interference from the 1983-1990 MHz band. After installing the RF band-pass filter, the QoS measurement results are better. This is because the RF band-pass filter stops the noise and interference from the 1983-1990 MHz band, so that only the desired frequency can pass to the UMTS system.
After implementing the RF band-pass filter, which is located between the BTS node and bottom jumper, QoS performance has been measured. From the results of the QoS analysis, it can be concluded first that the average value of RTWP decreases. This is indicated by the RTWP value: from a range of -90 dBm to -95 dBm to a range of -102 dBm to -104 dBm. Second, CS access rate value only fluctuates slightly, with an increase that reaches almost 100%. Third, the PS access rate steadily increases from 97% to almost 99.5%. Fourth, the RSCP value from the SSV drive test improves or increases, with no red or yellow symbols. Lastly, the RSCP value from the cluster drive test indicates improvement of the RSCP value, shown by no red symbols and only a little yellow colour.
Acknowledgements
The research has been supported by the United States Agency for International Development (USAID) through the Sustainable Higher Education Research Alliance (SHERA) Program for Universitas Indonesia's Scientific Modeling, Application, Research and Training for City-centered Innovation and Technology (SMART CITY) Project, Grant #AID-497-A-16-00004, Sub Grant #IIE-00000078-UI-1.
References
Ali, S., Saleem, N., & Tareen, T. (2012). Measuring the Performance of Handover Mechanisms in UMTS for Diverse Traffic Services Classes to Improve QoS. International Journal of Computer Applications, 55 (11). DOI:10.5120/8799-3021
Antara, M.A.S., Gunantara, N., & Wirastuti, N.M.A.E.D. (2016). RF Band Pass Filter Method for Performance Improvement Received Total Wideband Power on UMTS System. Majalah Ilmiah Teknologi Elektro, 15 (1), Januari-Juli [Indonesian Journal].
Derar, L.B.A., & Mustafa, A.B.A. (2014a). Improvement Performance of Soft Hand Over on UMTS Network. Journal of Scientific and Engineering Research, 1 (2).
Derar, L.B.A., & Mustafa, A.B.A. (2014b). Quality Of Service In UMTS Network And Improvement VOIP Performance. International Journal of Technology Enhancements and Emerging Engineering Research, 2 (10).
Huawei. (2011). NodeB V200R013 Technical description. Huawei Technologies Co. Ltd.
Huawei Technologies Co. Ltd. (2013). BTS3900A Monitoring System (Manual Guidebook), China: Huawei.
Junjie, Z., & Qiong, L. (n.d.). RTWP Troubleshooting Guide. Huawei Technologies Co. Ltd.
Kaur, D., Rakheja, P., and Kaur, A. (2010). Analysing Quality of Service in UMTS. International Journal of Computer Applications, 11 (12).
Knack, A., Mazierska, J., & Piel, H. (2008). Dielectric Resonator Filters for UMTS Systems. IEEE MTT-S International Microwave Workshop Series on Art of Miniaturizing RF and Microwave Passive Components. Chengdu, China, December.
Kreher, R. (2006). UMTS Performance Measurement, A Practical Guide to KPIs for the UTRAN Environment. Chichester: John Wiley & Sons Ltd. DOI: 10.1002/97804700â34866
Lacanette, K. (1991). A Basic Introduction to Filters â Active, Passive, and Switched-Capacitor, National Semiconductor Application Note 779. Available at http://www.ti.com/lit/an/snoa224a/snoa224a.pdf
Martin-Escalona, I., & Barcelo, F. (2006). Middleware-Controlled Resource consumption for Location Traffic in Cellular Networks. Journal of Communications Software and Systems, 2 (4), December.
Melvi, A.U., & Fernando, R. (2014). Mobile Based Transceiver Station Performance Analysis for the Stability of Infrastructure of Cellular Communication System. Jurnal Rekayasa Elektrika, 11 (1), 1-7, April [Indonesian Journal].
Menkominfo. (2013). News Bulletin SDPPI, Media Information and Communication, Directorate General Resources and Equipment Post and Informatics, Ministry of Communications and Informatics. The fifth edition [Indonesian Bulletin].
Nader, G. (2006). Ultra Wideband Interference on Third-Generation Wireless Networks. Dissertation, Virginia Polytechnic Institute and State University.
Nosiri, O.C., Idigo, V.E., Ohaneme, C.O., & Akpado, K.A. (2014a). Coverage and Capacity Performance Degradation on a Co-Located Network Involving CDMA2000 and WCDMA @1.9GH, International Journal of Computer, Information, Systems and Control Engineering, 8 (3).
Nosiri, O.C., Onoh, G.N., Idigo, V.E., & Ohaneme, C.O. (2014b). Mechanisms and Industry Solutions for RF Interference in a Co-located Network. Journal of Communications Engineering and Networks, 2 (3), 92-102, July.
Pratama, W., Endroyono & Suwadi. (2014). Solutions for Suppressing Co-Channel and Adjacent Channel Interference on Multi-Operator WCDMA Cellular System. Jurnal Teknik POMITS, 1 (1), 1-6 [Indonesian Journal].
Sayre, C.W. (2008). Complete Wireless Design. The McGraw-Hill Companies, Inc.
Tchao, E.T., Ofosu, W.K., Diawuo, K., Affum, E., & Agyekum, K. (2013). Interference Simulation and Measurements for deployed 4G-WiMAX Network In an Urban Sub-Saharan African Environment. International Journal of Computer Applications, 71 (14), June. DOI: 10.5120/12424-8973
Thethi, A. S. & Sawhney, R.S. (2010). Performance Evaluation of QoS parameters in UMTS Network Using Qualnet. International Journal of Distributed and Parallel Systems (IJDPS), 1 (2).
Verma, V. & Baghla, S. (2014). Performance Evaluation of QoS in WLAN-UMTS Network Using OPNET Modeller. International Journal of Science and Research, 3 (8).
Wardhana, L. (2011). 2G/3G RF Planning and Optimization for Consultant. Jakarta: Nulis Buku.
Werner, M. & Vary, P. (2005). Quality Control for UMTS-AMR Speech Channels. 9th European Conference on Speech Communication and Technology, Lisbon, Portugal, September 4-8.




















